Čvrstoće i dopušteni naponi drveta

Čvrstoće i dopušteni naponi drveta

Osnove statičkog proračuna

 

Drvo je prirodna tvorevina i po svome anatomskom sklopu nehomogen građevinski materijal. Može se uporediti sa snopom cevi, pojedinačno raspoređenih paralelno i prstenasto oko srži stabla (godišnji prstenovi ili godovi), imajući svuda različite poprečne preseke i debljine zidova (rano drvo – pozno drvo). Čvrstoće drveta zavise od uslova pod kojima je drvo raslo, a i u velikoj meri na njih utiču bolesti drveta, nepravilnosti u razviću, starost drveta u vreme seče i upotrebe, i posebno njegova vlažnost. Prosečna vrednost čvrstoće ne samo da je različita za pojedina stabla iz istog predela, već i za isto stablo ona opada počev od debljeg pa ka tanjem kraju. U poprečnom preseku, najmlađi godišnji prstenovi ispod kore predstavljaju najbolje i najtvrđe drvo. Na svojstva drveta može uticati šumarski stručnjak, ali samo u ograničenoj meri. Korisnik je jedva u mogućnosti da jednostavnom sredstvima može izmeniti svojstva čvrstoće.

 

Čvrstoće i dopušteni naponi

 

1. Čvrstoća pod pritiskom

  1. Pravcem vlakana. Prilikom ispitivanja probnih primeraka, koji su većinom kvadratnog preseka, slom nastupa usled toga što se zidovi ćelija vlakana izvijaju u šupljine, pri čemu se prethodno ne mogu utvrditi nikakva jasno izražena transverzalna širenja. Početak ovog izvijanja javlja se na onim mestima gde se nalaze ma kakve male strukturne nepravilnosti – što se spolja u većini slučajeva ne može ni primetiti – ili polazi od gornje ili donje pritisnute površine. Dopušten pritisak četinarskog drveta – bez obzira da li je smrčevo, borovo ili jelovo – utvrđen je na 8,5 MPa, a za ariševo drvo 9 MPa. Za drvo lišćara – hrastovo ili bukovo – iznosi 10 MPa. Uopšte uzev, stvarna srednja čvrstoća pod pritiskom – bar za hrastovinu – nije veća od one za četinare, ali je ova vrednost ipak opravdana jer se praktično za konstrukcije drvo lišćara upotrebljava samo u malim komadima, tako da se može izbeći drvo sa krupnijim čvorovima ili drvo nepravilnog razvića. Hrastovo drvo se precenjuje. Mlada hrastovina (do 30 godina) izgleda da je znatno žilavija i čvršća od drveta starijih stabala. Kvalitetna klasa I dopušta za četinarsko drvo čvrstoću do 11 MPa, za ariševo 11,5 MPa, a za hrastovo i bukovo 12 MPa. Kvalitetnom klasom III utvrđene su vrednosti za četinarsko drvo 6 MPa, a za hrastovo i bukovo 7 MPa.
  2. Upravno na pravac vlakana. U pravcu upravnom na vlakna, pojave pri slomu su drugačije od pojava koje izaziva pritisak pravcem vlakana. Čvrstoća pod transverzalnim pritiskom zavisi uglavnom od čvrstoće koju pokazuje nezbijena količina ranog drveta u godišnjem prstenu. Pozno drvo, od koga vrednost čvrstoće pod aksijalnim pritiskom i zavisi, vrši pod transverzalnim pritiskom ulogu raspodele opterećenja. Pri vršenju ispitivanja, kazaljka koja pokazuje veličinu sile, zadržava stalno svoj najviši zauzet položaj. U slučaju potpuno opterećenog preseka, čvrstoća pod pritiskom upravnim na vlakna za četinare iznosi 1/7 do 1/10 vrednosti čvrstoće pravcem vlakana, a za drvo lišćara 1/3 do 1/5 vrednosti čvrstoće pravcem vlakana.

 

2. Čvrstoća pri zatezanju

Čvrstoća pri zatezanju ispitavana je u znatno manjoj meri no čvrstoća pod pritiskom. To delimično može da potiče i iz razloga što izrada i ispitivanje odgovarajućih probnih primeraka oduzimaju mnogo vremena, a i skupi su. Nepravilnost u strukturi drveta upadljivo se ispoljava u slučaju čvrstoće pri zatezanju. Analogno čvrstoći pod pritiskom, pored širine godova, udeo poznog drveta je od presudnog značaja. Slom ranog drveta nastupa pre sloma poznog drveta, tako da se čvrstoće ranog i poznog drveta ne mogu sabirati. Uticaj čvorova i nepravilnosti razvića ispoljavaju se jače no u slučaju čvrstoće pod pritiskom. Svaka krivina ili talas izazvani blizinom čvorova koji se i ne moraju nalaziti na štapu, dovoljni su da čvrstoću pri slomu svedu i na četvrtinu vrednosti čvrstoće pri zatezanju drveta bez defekta.

Najslabija mesta zategnutih elemenata predstavljaju čvorovi konstrukcije, gde su i oslabljenja usled zareza za moždanike najveća. Ovde se naročito u obrazima (podvezicama) javljaju naprezanja usled savijanja, koja proračun ne obuhvata. Dopušteni naponi za četinarsko drvo iz kvalitetne klase I iznose 10,5 MPa, a za hrastovo i bukovo drvo 11 MPa; za zategnute elemente isključuje se upotreba građe iz kvalitetne klase III.

 

zatezanje

 

3. Čvrstoća pri savijanju

Pretpostavke na kojima se zasniva Navier-ov obrazac za proračun savijanja važi sa dobrom približnošću i za drvo, ali samo pri malim opterećenjima. U slučaju većeg opterećenja javljaju se takva pomeranja da je stvaran ivični napon usled pritiska manji nego što se proračunom dobija, dok se za napon usled zatezanje dobija obratna slika. Stvarna nulta linija pomera se ka zategnutoj strani (slika 2). Proračunom dobijena čvrstoća savijanja pri slomu veća je za 1,4 do 2 puta od čvrstoće pod pritiskom i sa malim izuzecima manja je od čvrstoće pri zatezanju. Ako se čvorovi i nepravilnosti javljaju u blizini maksimalnih momenata i maksimalnih ivičnih napona, javljaju se smanjenja smanjenja i do 50%.

 

savijanje

 

Potrebno je naglasiti da čvrstoća savijanja pri dugotrajnom mirnom opterećenju iznosi otprilike polovinu od čvrstoće savijanja koja se na uobičajen način određuje. Ako se opterećenje u celosti ili delimično često ponavlja, nosivost će produžiti da se smanjuje u zavisnosti od mere u kojoj pokretno opterećenje učestvuje u celokupnom opterećenju.

Dozvoljen napon pri savijanju za četinarsko drvo kvalitetne klase III iznosi 7 MPa, a za kvalitetne klase II i I utvrđeno je respektivno 10 MPa i 13 MPa. Za kontinualne nosače bez zglobova iz dveju poslednjih klasa predviđen je napon 11 MPa i 14 MPa, jer takvi nosači pokazuju veću sigurnost. Pri dimenzionisanju greda izloženih savijanju, u mnogim slučajevima nije merodavan napon pri savijanju, već dozvoljen ugib. Za grede međuspratnih konstrukcija, ugib usled stalnog ili korisnog opterećenja ne sme da pređe preko 1/300 raspona. Za slobodno oslonjenu gredu opterećenu jednakopodeljenim opterećenjemm, odnos između raspona i visine sme da iznosi najvise 16, pri dopuštenom naponu usled savijanja od 10 MPa. Međutim, za kratke, teško opterećene grede i složene poprečne preseke od presudnog je značaja napon smicanja. Za ugib je od značaja modul elastičnosti, a isto tako i za čvrstoću pri izvijanju kao i za proračun statički neodređenih konstrukcija. Veličina modula elastičnosti, u zavisnosti od kvalitete građe, kreće se u širokim granicama. Modul elastičnosti četinara je 10 000 MPa, a upravno na vlakna ta vrednost iznosi 300 MPa za četinarsku građu, i 600 MPa za hrastovu i bukovu građu.

 

novo ime

 

4. Čvrstoća pri smicanju

Pri smicanju drvo pokazuje malu čvrstoću. Vrednosti za čvrstoću smicanja se mogu u velikoj meri razilaziti zbog ispucalosti drveta. Utvrđena je gornja granica od 0,9 MPa za četinarsku građu sve tri kvalitete građe. Za hrastovu i bukovu građu kvalitete II i III maksimalne vrednosti iznose 1 MPa, odnosno 1,2 MPa za klasu I. U slučaju da se za ove napone dobijaju suviše kratki čeoni prepusti, preporučuje se da se naponi ne iskorišćavaju. Ako su čeoni prepusti kratki, postoji velika opasnost da se u ravni smicanja stvore naprsline usled skupljanja, što eventualno može da dovede do potpunog gubitka nosivosti.

 

smicanje

 

5. Čvrstoća pri izvijanju

Ako su štapovi izloženi pritisku, potrebno je da se sa proračunom proveri izvijanje. Od naročitog značaja je pravilan izbor dužine izvijanja. Štapovi se moraju spregovima osigurati protiv bočnih skretanja. Ukoliko se ovo ne može sprovesti u dovoljnoj meri, u proračun bi trebalo uneti veću dužinu izvijanja.

 

sl4

 

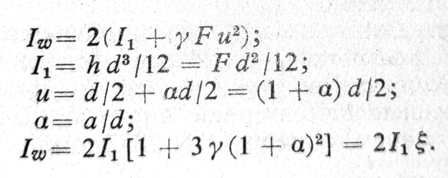
Za složene pritisnute štapove proračun se vrši u odnosu na materijalnu osu (x-osa na sl. 4a i 4b) isto onako kao i za pune preseke, pri čemu se za širinu celog štapa uzima zbir širina d pojedinačnih elemenata. Za izvijanje u odnosu na nematerijalnu osu (y-osa na sl. 4a, 4b i 4c, i x-osa na sl. 4c) ne može se računati na savršeno sudelovanje pojedinačnih poprečnih preseka, jer su poprečne veze drvenih štapova popustljive. Za dvodelan poprečni presek prema sl. 4a važi sledeće:

formule

 

Složeni pritisnuti štapovi upotrebljavaju se uglavnom samo tamo gde to veze zahtevaju, tj. kad se elementi punog preseka u potrebnim dimenzijama ne mogu nabaviti. Da bi se, pak, po mogućnosti što bliže približilo punim presecima, za preporuku su uvek besprekidne podužne veze.